Debt Payment Plan Printable – Take Control with a Printable Planner – Your Time, Your Way
Are you struggling to keep up with your debt payments? Creating a debt payment plan can help you organize your finances and set a clear path towards becoming debt-free. One useful tool to assist you in this process is a debt payment plan printable. This printable template can help you track your debts, set priorities, and stay on schedule with your payments.
Debt can be overwhelming, but having a plan in place can give you a sense of control and direction. By using a debt payment plan printable, you can visualize your debts, set achievable goals, and monitor your progress. This can help you stay motivated and focused on paying off your debts.
Looking for a easy and adaptable way to organize your day? A planner printable is the perfect solution for managing your daily tasks, weekly routine, or month with ease. Whether you’re a college attendee, professional, or home manager, printables planner help you stay focused, track goals, and keep your routine on track.
Unlike store-bought organizers, a planner printable gives you the freedom to edit sections and use exactly what suits you. From daily to-do lists and meal plans to monthly calendars and productivity charts, there’s a printable for any routine.
Quickly Access and Print Debt Payment Plan Printable
You can easily download planner printable from the web, many of which are free and aesthetically pleasing. They’re ideal for both people avoiding apps and stationery fans who want an efficient routine without relying on apps.
Elevate your daily success and personal focus—search for the best planning template today and build a planning system that fits your life. It’s time to own your schedule—the smart way..
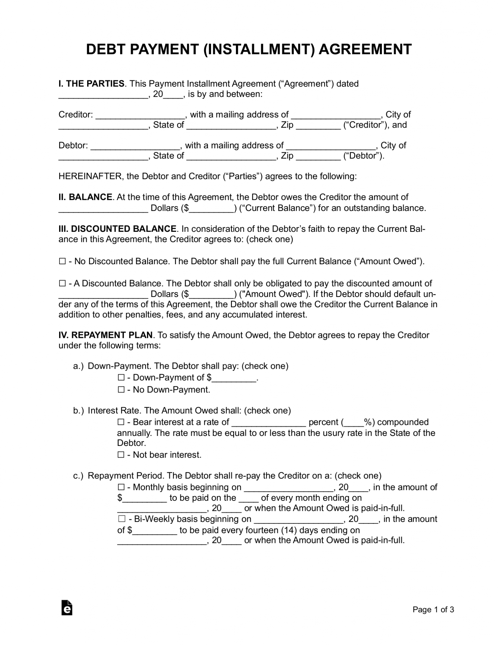
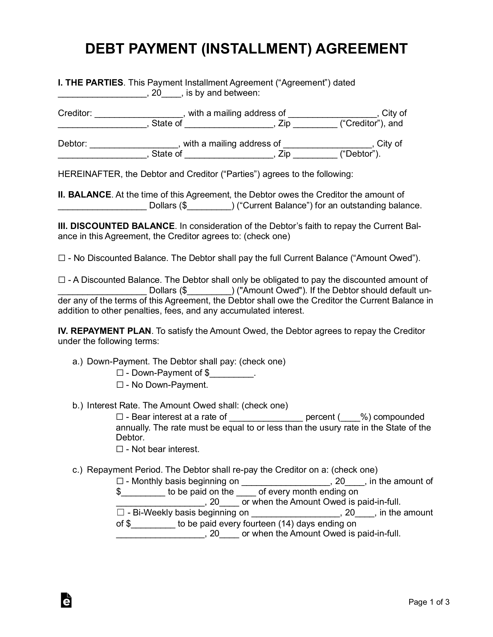
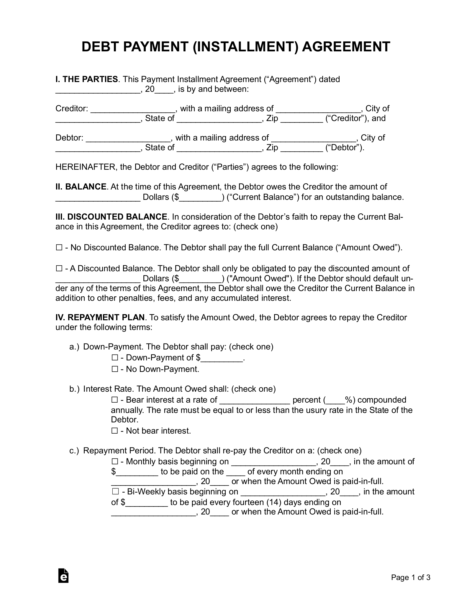
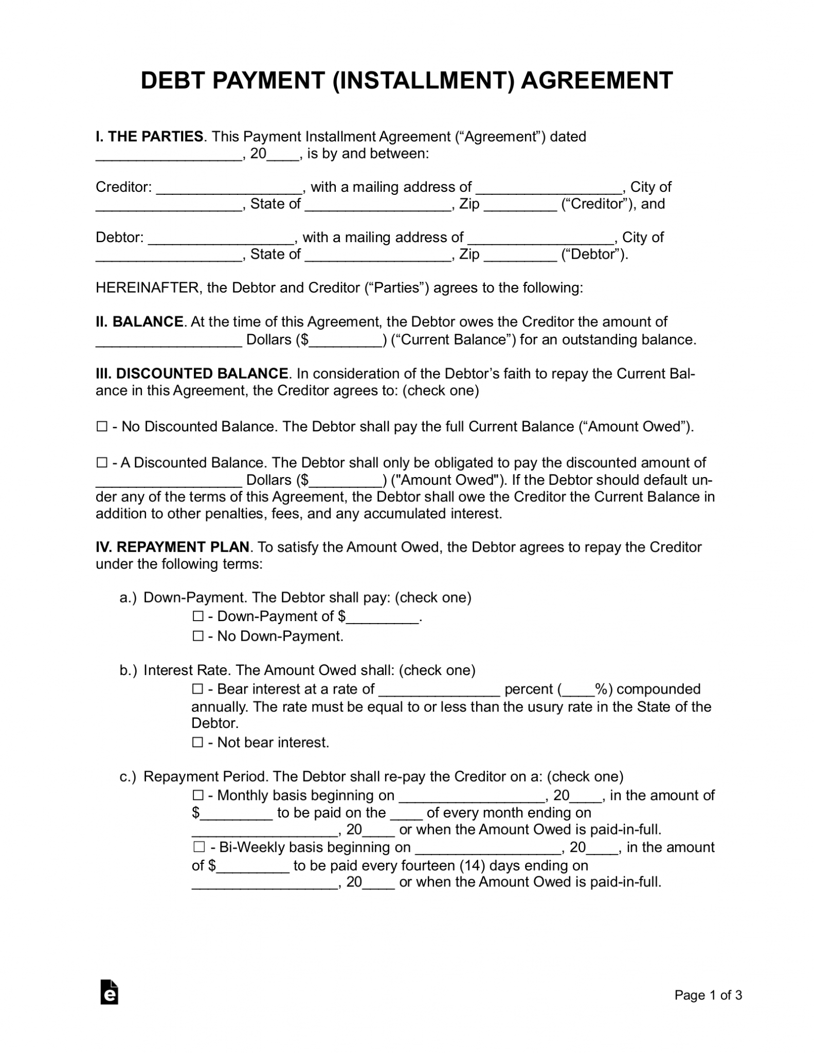
Free Debt Payment Plan Agreement PDF Word EForms
Free Debt Payment Plan Agreement PDF Word EForms
Debt Payment Plan Printable PDF Digital Download Etsy
Debt Avalanche Payment Tracker Printable Money Saving Methods
Debt Snowball Tracker Printable Debt Payment Worksheet Debt Payoff
Creating a debt payment plan printable is simple and easy. Start by listing all of your debts, including the amount owed, interest rates, and minimum payments. Next, prioritize your debts based on factors such as interest rates or outstanding balances. Then, allocate a certain amount of your income towards paying off your debts each month. Finally, track your payments and adjust your plan as needed to stay on track.
Having a debt payment plan printable can also help you stay organized and avoid missing any payments. By having all of your debts and payment due dates in one place, you can easily see what needs to be paid and when. This can prevent late fees and additional interest charges, ultimately saving you money in the long run.
Remember, paying off debt takes time and dedication. It’s important to stick to your debt payment plan and make consistent payments each month. With patience and persistence, you can work towards a debt-free future and achieve financial freedom.
In conclusion, using a debt payment plan printable can be a valuable tool in managing and paying off your debts. By creating a plan, setting goals, and tracking your progress, you can take control of your finances and work towards a debt-free future. Take the first step towards financial freedom today by downloading a debt payment plan printable and starting your journey towards a brighter financial future.
